Skip to content Skip to sidebar Skip to footer

Citric Acid Structure, Citric Acid Formula Structure - Citric acid cycle (structures, reactions, and energy products).

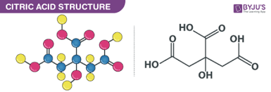
Citric Acid Structure, Citric Acid Formula Structure - Citric acid cycle (structures, reactions, and energy products).. It occurs naturally in citrus fruits. The chemical structure of citric acid is shown below. This is the currently selected item. In chemical structure, citric acid shares the properties of other carboxylic acids. It is a natural preservative and is also used to add an acidic (sour) taste to foods and soft drinks.

From water solutions crystallizes as monohydrate. Citric acid is derived from citrus fruits and is used in small amounts to adjust the ph of products to prevent them from being too alkaline. The chemical structure of citric acid is shown below. It is a natural preservative and is also used to add an acidic (sour) taste to foods and soft drinks. Chemical structure of acetic acid.

Citric Acid Monohydrate Citric Acid Monohydrate
Citric Acid Monohydrate Citric Acid Monohydrate from www.chemicalbook.com
Citric acid is used as an excipient in pharmaceutical preparations due to its antioxidant properties. In chemical structure, citric acid shares the properties of other carboxylic acids. It is a natural preservative and is also used to add an acidic (sour) taste to foods and soft drinks. This is the currently selected item. Citric acid is a relatively strong weak acid, but no special precautions are required for its use. The initiating step of the citric acid cycle occurs when a four carbon compound (oxaloacetic acid) you should not memorize these structures but derive them from a knowledge of reaction principles. Citric acid is available in natural form in several fruits and vegetables. When heated above 175°c, it decomposes through the loss of carbon dioxide and water.

In biochemistry, it is an intermediate in the citric acid cycle.

In chemical structure, citric acid shares the properties of other carboxylic acids. The initiating step of the citric acid cycle occurs when a four carbon compound (oxaloacetic acid) you should not memorize these structures but derive them from a knowledge of reaction principles. Citric acid is used as an excipient in pharmaceutical preparations due to its antioxidant properties. Citric acid is a weak organic acid found in citrus fruits. In chemical structure, citric acid shares the properties of other carboxylic acids. The chemical structure of citric acid is shown below. Regulatory process names 17 translated names 23 cas names 1 iupac names 58 the molecular structure is based on structures generated from information available in echa's databases. Citric acid preparation from molasses. Citric acid is a weak acid most commonly found in citrus fruits. It is the product of a cyclic reaction in cellular respiration known as the citric acid cycle, and is an excellent source of energy because it can be readily converted into atp. This is the currently selected item. It is a natural preservative and is also used to add an acidic (sour) taste to foods and soft drinks. 2na3c3h5o(coo)3 + cacl2 = ca3(c3h5o(coo)3)2↓ + 2nacl.

Organic compound, tribasic carboxylic acid. Regulatory process names 17 translated names 23 cas names 1 iupac names 58 the molecular structure is based on structures generated from information available in echa's databases. Citric acid is used as an excipient in pharmaceutical preparations due to its antioxidant properties. In grocery store (as citric acid). In biochemistry, it is important as an intermediate in.

Citric Acid Monohydrate C6h10o8 Chemspider
Citric Acid Monohydrate C6h10o8 Chemspider from www.chemspider.com
It is a tricarboxylic acid with the chemical formula c6h8o7. Citric acid is derived from citrus fruits and is used in small amounts to adjust the ph of products to prevent them from being too alkaline. This structure is also available as a 2d mol file. Overview and steps of the citric acid cycle, also known as the krebs cycle or tricarboxylic acid (tca) cycle. However, in both forms, the chemical name, and the citric acid structure remains the same. Citric acid is a weak organic acid found in citrus fruits. In chemical structure, citric acid shares the properties of other carboxylic acids. The initiating step of the citric acid cycle occurs when a four carbon compound (oxaloacetic acid) you should not memorize these structures but derive them from a knowledge of reaction principles.

It is a natural preservative and is also used to add an acidic (sour) taste to foods and soft drinks.

It has the chemical formula c6h8o7. This is the currently selected item. 40 citric acid is used as a food ingredient in the production of fruit products, juices, oils and fats citric acid and its salts. Citric acid cycle (structures, reactions, and energy products). Citric acid is a weak organic acid found in citrus fruits. However, in both forms, the chemical name, and the citric acid structure remains the same. This structure is also available as a 2d mol file. Molasses containing sucrose is diluted with water and subjected to fermentation with a microorganism aspergillus niger. It is a tricarboxylic acid with the chemical formula c6h8o7. Regulatory process names 17 translated names 23 cas names 1 iupac names 58 the molecular structure is based on structures generated from information available in echa's databases. Citric acid is used in the process of metabolism in the humans, animals and plants. In chemical structure, citric acid shares the properties of other carboxylic acids. In chemical structure, citric acid shares the properties of other carboxylic acids.

Citric acid is a weak organic acid found in citrus fruits. When heated above 175°c, it decomposes through the loss of carbon dioxide and water. Chemical structure of citric acid: Citric acid and its salt form (citrate) are commodity chemicals and are used in many industrial fields. The chemical structure of citric acid is shown below.

What Makes Citrate Or Citric Acid An Acid Chemistry Stack Exchange
What Makes Citrate Or Citric Acid An Acid Chemistry Stack Exchange from i.stack.imgur.com
In biochemistry, it is an intermediate in the citric acid cycle. It is a natural preservative and is also used to add an acidic (sour) taste to foods and soft drinks. Overview and steps of the citric acid cycle, also known as the krebs cycle or tricarboxylic acid (tca) cycle. Chemical structure of citric acid: Citric acid is a weak acid most commonly found in citrus fruits. Citric acid cycle (structures, reactions, and energy products). Citric acid is used in the process of metabolism in the humans, animals and plants. It is the product of a cyclic reaction in cellular respiration known as the citric acid cycle, and is an excellent source of energy because it can be readily converted into atp.

Citric acid is a weak organic acid that has the molecular formula c6h8o7.

Regulatory process names 17 translated names 23 cas names 1 iupac names 58 the molecular structure is based on structures generated from information available in echa's databases. However, in both forms, the chemical name, and the citric acid structure remains the same. Citric acid is derived from citrus fruits and is used in small amounts to adjust the ph of products to prevent them from being too alkaline. When heated above 175°c, it decomposes through the loss of carbon dioxide and water. Overview and steps of the citric acid cycle, also known as the krebs cycle or tricarboxylic acid (tca) cycle. Organic compound, tribasic carboxylic acid. Citric acid is a weak acid most commonly found in citrus fruits. Chemical structure of acetic acid. Citric acid cycle (structures, reactions, and energy products). Chemical structure of citric acid: Molasses containing sucrose is diluted with water and subjected to fermentation with a microorganism aspergillus niger. It is the product of a cyclic reaction in cellular respiration known as the citric acid cycle, and is an excellent source of energy because it can be readily converted into atp. This structure is also available as a 2d mol file.